Aim of the lab
The analysis of point patterns is focused on the spatial distribution of observed events and making inference about the underlying process that generated them. We have two main issues of interest: the distribution of events in space and the existence of possible interactions between them
This is a TWO WEEK LAB See here
for assignment guidelines. You must submit an .Rmd file and
its associated .html file.
Getting help
- Kiely (and often Dr G) will be present during your lab sessions. This
is the easiest way to get help.
- Dr G has weekly office hours and genuinely enjoys helping with R, even
if you feel stuck or overwhelmed.
- You may send a Canvas message to Kiely or Dr G (or if you are
completely lost).
There are two options here depending on whether you are using R-studio on the website (posit cloud) or your own computer (R-Desktop). If you are using a lab computer choose the R-Desktop route.
Unfortunately on the website you need to install your packages each
time.
First we need a package called sf, which runs a lot of the spatial commands in R. Unfortunately, posit cloud sometimes has a few technical issues with sf, so you will need to run a special command.
IN THE CONSOLE, run these two commands.
install.packages("remotes")
remotes::install_github(repo = "r-spatial/sf", ref = "93a25fd8e2f5c6af7c080f92141cb2b765a04a84")Go to to the packages tab, click install to get to the app-store and download/install these packages:
AERbroomelevatrggplot2kableExtraopenintroosmdataspsfplotlyRColorBrewerreadxlrmapshaperskimrsfdepspatstatspdeptidycensustidyversetigristmapviridisT6_Packages.html
Reminder: Tutorial:
Packages cheatsheet.
You are welcome to use/edit the template you made in previous labs. If you are unsure what I mean by that, follow these instructions.
Lets use similar options to Lab 4. Remember YAML code is annoying to edit, because here, spaces really do matter. Everything has to be perfect or it won’t knit.
Select everything in my code chunk here and replace your YAML with this (remember the — on line 1 and at the end).
Now edit the author name to your own. If you wonder what Sys.Date() is, don’t touch it - it automatically gives you the current date.
Now change your theme to your favourite one of these - you can see what it looks like by pressing knit. Note, DO NOT put quote marks around the theme name.
#---------------------------------------------------------
# NOTE, Your theme does NOT have quote marks around it
#---------------------------------------------------------
---
title: "GEOG-364 - Lab 7"
author: "hlg5155"
date: "`r Sys.Date()`"
output:
html_document:
toc: true
toc_float: yes
number_sections: yes
theme: lumen
df_print: paged
---Click on your lab script (the Rmd file) and delete all the
‘welcome text’ after line 11.
Press enter a few times and make a new
level-1 heading called Set Up.
We should have all the packages we need installed, but we need to
open them. Make a new code chunk containing this code.
rm(list=ls())
library(AER)
library(broom)
library(elevatr)
library(ggplot2)
library(kableExtra)
library(openintro)
library(osmdata)
library(sp)
library(sf)
library(plotly)
library(RColorBrewer)
library(readxl)
library(rmapshaper)
library(skimr)
library(sfdep)
library(spdep)
library(tidycensus)
library(tidyverse)
library(tigris)
library(tmap)
library(viridis)
library(spatstat) # NEW! You might have to install this.Press the green arrow on the right of the code chunk to run the
code inside it. You will see a load of “loading text” telling your
details about the packages you just loaded.
Press the green
arrow AGAIN. The text should disappear unless there is an
error.
Note, remember to run this code chunk EVERY TIME your start
R-Studio (in the same way you need to click on an app on your phone
before you can use it).
You might need additional libraries as you work through the lab. If so, add them in this code chunk AND REMEMBER TO RERUN. If you see a little yellow bar at the top asking you to install them,click yes!
Your lab script should now look similar this, but with your theme and YAML options of choice (you might have a few different libraries than in my screenshot). You should also be able to knit it successfully. If not, go back and do the previous sections!

This lab introduces point pattern analysis, a technique used to study the spatial distribution of individual events or locations. We’ll explore how and where things happen by examining the locations of McDonald’s restaurants and schools in Upstate New York. By comparing their spatial patterns, we’ll begin to ask: Are these points randomly distributed, clustered, or evenly spaced at different scales. Then use our results to explore the social, economic, and geographic processes that shape them.
Point pattern analysis examines how individual events or features, such as shops, disease locations, or trees are arranged in space. Unlike earlier labs that used fixed areas like counties, this method does not rely on predefined boundaries. Instead, Point pattern analysis is concerned with describing patterns of points over space and making inference about the process that could have generated an observed pattern. The techniques are widely used in fields like public health, urban planning, and environmental science.
You will be graded on your report style. To get an A grade, submit a clean, well-organized report. You should use headings and sub-headings, keep code output tidy, make sure all units are included and write clear explanations beneath each task.
Your report should make it easy for the reader to locate each answer and understand how your results relate to real-world questions. Only polished, professional submissions will receive 100%.
In this lab you will begin working with the R package spatstat, which
is specifically designed for spatial point-pattern analysis. Although
its interface can feel somewhat old fashioned and it hates sf/terra, it
remains one of the most comprehensive environments for working with
spatial point processes. The package is supported by a large body of
documentation, including a dedicated textbook and an active set of
online resources.
You will learn how to prepare your data so that it can be used effectively for spatial analyses by converting it into the appropriate format used by spatstat. This initial exercise will give you a conceptual foundation before we start manipulating data.
Remembering to use headings/sub-headings so it’s easy for us to find your answer, describe what point pattern is - and link to one resource online that helps describe point pattern analysis other than the spatstat and R-spatial books.
Visit the spatstat FAQ page at https://spatstat.org/FAQ.html and explore the
content.
Remembering to use headings and sub-headings, write (at minimum)
50 words describing what spatstat is and any features or aspects of the
package that seem especially useful or interesting.
This lab focuses on understanding the spatial patterns of McDonald’s
restaurants and high schools across Upstate New York. First we need to
get the data
Download Lab6_SpatialData_NY.RData from canvavs and
put them into your Lab 7 folder.
A .RData file stores a collection of R objects so that you can load several datasets at once. Add a new code chunk and use the load() function to bring the data into your session.
Run BOTH your library code chunk and this one, then click on your
environment tab, you should see that it has downloaded several datasets
about New York.
Look at the Environment tab and you’ll see several datasets have appeared:
median_income and pop_density are
derived from census tract vector data from the American Community
Survey. Rather than our normal vector format, they are saved as
raster images (to make the point pattern code work).
Schools is a point dataset containing the location
of all the high-schools in Upstate New York State as of 2022-2023. I
obtained it from the New York State GIS portal
McDonalds is a dataset containing the location of
all the McDonalds resturants in Upstate New York State. I obtained it
from kaggle and I don’t know the original source
THIS WILL ONLY WORK IF YOU HAVE RUN THE LOAD LIBRARY CODE CHUNK TO LOAD THE SPATSTAT PACKAGE. If you see a list of stuff and it doesn’t make a map, install and load library(spatstat)
Before working with point-pattern tools, it is useful to take a first look at how the Schools and McDonald’s locations are distributed across New York. The example below creates an interactive map of the school locations using tmap in view mode:
tmap_mode("view")
tm_shape(Schools) +
tm_dots(size = 0.5, fill_alpha = 0.5, fill = "blue") +
tm_basemap("OpenStreetMap") +
tm_credits("High Schools in New York")stateborder.utm). For
basemap ideas, see the preview gallery at https://leaflet-extras.github.io/leaflet-providers/preview/.In your report, underneath the plots begin by briefly describing what
each dataset represents. Then compare the spatial distributions of
Schools and McDonald’s locations across New York State. Draw on the
examples from Lectures 7–8 and Homework 3 to structure your
interpretation.:
Describe whether each dataset appears to show positive, zero, or
negative spatial autocorrelation. Comment on whether this conclusion
changes as you adjust the spatial domain/scale of observation (for
example, when zooming in to a city versus viewing the entire state).
Explain the possible spatial processes that may be generating
these patterns. As a hint, if you were asked to predict where new
Schools or McDonald’s locations might appear in another state, what
variables or contextual information would you consider?:
Discuss whether each observed patterns seems driven by
first-order processes, second-order processes, or a combination of both
- and explain what you mean by these terms. Hint, see https://mgimond.github.io/Spatial/chp11_0.html:
Discuss whether the interpretation of either dataset may be affected by each of these spatial issues, explaining your reasoning for each.
the locational fallacy:
non-uniformity of space:
the Modifiable Areal Unit Problem (MAUP)
:
If you type Schools into the console and press enter, you should see in the summary that your data’s coordinates are not lat/long. It’s good practice to know what map projection your data is in.
st_crs() command, e.g.try
thisAll of the point pattern tools used in this section come from the spatstat package. These commands work with points stored in ppp objects rather than the sf objects you have used so far. Once we move into spatstat, packages such as tmap will no longer work as expected.
A key requirement of spatstat is that each point pattern must be
associated with a clearly defined spatial window to show the boundary of
the point data.
Now we need to convert our data into a ppp object.
# Just take XY locations
School.locs <- st_geometry(Schools)
# Convert to point pattern format
School.ppp <- as.ppp(School.locs)
# Set the domain to be NY State
Window(School.ppp) <- stateborder.owin
School.ppp## Planar point pattern: 404 points
## window: polygonal boundary
## enclosing rectangle: [602098.7, 1133211.9] x [4645947, 5012753] units
# Save current plot settings
oldpar <- par(no.readonly = TRUE)
# Make temporary changes to make the margin smaller
par(oma = c(0,0,0,0),
mar = c(.5,.5,1,.5),
cex.main = .9)
# Produce your plot
plot(School.ppp,
pch = 16,
cols = rgb(0,0,0,.5),
cex = .5,
main = "Point pattern of NY schools data")All of our objects are currently measured in metres. Because we are working at the scale of an entire state, reporting results in metres is unwieldy. We will therefore convert every dataset to kilometres.
# First reload the spatstat geom package. You don't need to move it to the top as I want to force it to be the final package loaded
library(spatstat.geom)
School.ppp <- spatstat.geom::rescale(School.ppp, 1000, "km")
median_income <- spatstat.geom::rescale(median_income, 1000, "km")
pop_density <- spatstat.geom::rescale(pop_density, 1000, "km")In spatial point pattern analysis, first-order effects refer to variations in the intensity of points across a study area due to external factors. These effects describe how the likelihood of observing a point changes from one location to another, independent of the presence or absence of other points. For example, oak trees may be more densely distributed in areas with favorable soil conditions, or retail stores may cluster in regions with higher population density. In both cases, the spatial variation is driven by underlying environmental or socioeconomic covariates rather than interactions between the points themselves.
To explore first order effects, we look at the density of points across our study area and see how that compares to point patterns made by different processes.
https://mgimond.github.io/Spatial/chp14_0.html#understanding-intensity-and-density-in-point-patterns
Make a new level one heading called First order effects.
One piece of jargon to understand is the difference between intensity and density. In your report, using this tutorial, https://mgimond.github.io/Spatial/chp14_0.html#understanding-intensity-and-density-in-point-patterns , explain the difference in your own words.
A simple summary of a point pattern’s intensity is its global density: the number of points per unit area. For example, we might report penguins per square mile or flowers per square foot. The formula is simple: global density = number of points / area of the study region.
But we are assuming that the pattern is homogeneous, e.g. you don’t have clusters or hotspots of points that vary across your study domain. Here is how to compute this quantity and write it up for the schools dataset:
## [1] 404
## [1] 114728.4
## [1] 0.00352136
So this code suggests that in New York State, there are 0.0072 schools per square km. E.g. if the schools were evenly distributed in a grid-like pattern, the average distance between schools would be around 12 kilometers in any direction.
How did I get this?: 1/0.0072 ~ 139, this means if schools were evenly distributed in a grid like pattern then there would be roughly one school every 139 square kilometers. Taking the square root of 139 gives about 11.79, so if the schools were evenly distributed in a grid-like pattern, the average distance between schools would be approximately 12 kilometers in each direction.
Calculate and interpret the global density for the McDonalds data. Is it greater or lesser than the schools intensity.
(A* bonus question): How does the non-uniformity of space impact this result?
A second way to explore first-order properties is to examine how density varies locally across the study area. One common approach is kernel density estimation (KDE), which produces a continuous surface showing where points are more or less concentrated.
The basic idea is straightforward: imagine sliding a circular window across the map and counting how many points fall inside that window at each location. The result is a smoothed surface, which we can use as our best guess of the true underlying intensity.


Illustration of a moving kernel window used to estimate local density
Use the code below to calculate a kernel density surface for the
schools data using the default bandwidth. Once it works, copy and adapt
the code to create a second version for the McDonald’s dataset.
Compare the Schools and McDonald’s maps in your own words. What
similarities and differences do you see?
SchoolDensity1 <- density(School.ppp) # Default bandwidth
plot(SchoolDensity1, main = NULL, las = 1)
contour(SchoolDensity1, add = TRUE)Within KDE, you can decide how big you want your smoothing window to be. The width of this window is controlled by the bandwidth, which determines how coarse or fine the surface will appear.

Different bandwidths tell us different stories about the data. In the example above, the large bandwidth on the left highlights the parts of the city most prone to late-night road accidents but blurs local detail. The small bandwidth on the right reveals specific streets but makes it harder to see the overall pattern.
There is no single “correct” bandwidth. Changing it often reveals different aspects of the underlying process. So we mostly use KDE for EXPLORATORY analysis.
Click here to read more and see some examples in R. https://mgimond.github.io/Spatial/point-pattern-analysis-in-r.html#kernel-density-raster
SchoolDensity <- density(School.ppp, sigma=5)
plot(SchoolDensity, main=NULL, las=1)
contour(SchoolDensity, add=TRUE)Run the same code several times for both the Schools and
McDonald’s data, varying sigma from a very small value (e.g. 1 km) to a
very large one (e.g. 1000 km). As you change sigma, think about the
real-world processes that might be driving the patterns you see.
For your report, choose a final bandwidth for each dataset
(Schools and McDonald’s) that helps you say something interesting about
the pattern in relation to New York’s geography or environment. Include
the corresponding maps and briefly explain your reasoning below each
map.
A* bonus question: Explain how the bandwidth issue links with
MAUP’s scale effect.
The nearest-neighbour distance measures, for each point in a pattern, how far away its closest other point lies. It captures the local spacing between points and is highly sensitive to whether the pattern is clustered, random, or inhibited. When many points have very small nearest-neighbour distances, this indicates clustering; when distances are consistently large, the pattern shows regularity or repulsion. Under complete spatial randomness (CSR), nearest-neighbour distances follow a known theoretical distribution, so departures from it reveal second-order effects—interactions between points that cannot be explained by intensity alone. For this reason, summary functions based on nearest-neighbour distances, such as the L-function, are widely used to diagnose spatial interaction in point pattern analysis.
There is a NEW READING on the canvas lab page that will help as your guide to this https://psu.instructure.com/courses/2396422/assignments/17585717 You want from the start to the end of section 14.1.
nndist command calculates the distance between each
point and its nearest neighbour. Because it’s just calculating a list of
numbers, we can add it as a new column to our dataset and treat it like
any other column. Here I added it as a new column to both the ppp
version of schools and the original dataset.# Use the nndist command, then save the result as a new column in the schools data
School.ppp$NearestNeighbourDist <- nndist(School.ppp)
Schools$NearestNeighbourDist <- nndist(School.ppp)Use the code above to calculate the nearest neighbour distances
for the schools data. Once it works, copy and adapt the code to create a
second version for the McDonald’s dataset.
For each of your Schools and McDonalds datasets, take the mean of
your nearest neighbour column, then use the round command to round it to
two decimal places.
Plot a professional looking histogram of the nearest neighbour
column of the Schools data and of the McDonalds datasets.
Under the histograms, the Schools and McDonald’s nearest
neighbour distributions in your own words.
What similarities and differences do you see and how does this
link to the underlying processes ‘causing’ schools and
McDonalds?
As a hint, your write up should include the words “Schools in Upstate New York, are on average 8.79km apart.” and similar for your McDonalds data.
We can now calculate the R.Ratio and see if it is unusual compared to a pattern caused by an IRP by using a Clarke Evans test. We will cover this in class on Wednesday, but for now, refer to this reading on Canvas: https://psu.instructure.com/courses/2396422/assignments/17585717 (YOU NEED SECTION 14.1.)
In the text explain what the R Ratio is and what you would expect
for:
A very clustered point pattern
Complete spatial randomness
A very uniform/gridded point pattern
Here is the code for a Clarke Evans hypothesis test to check if our observed schools point pattern is EITHER unusually clustered OR unusually regular/gridded, compared to what we would expect if the pattern was generated by an IRP.
It’s also possible to edit this code for a one sided test e.g.
`H1: alternative=“clustered”`: Our observed pattern is unusually
clustered compared to a pattern generated by an IRP.
`H1: alternative=“regular”`: Our observed pattern is unusually gridded/regular compared to a pattern generated by an IRP.
A full explanation and write up of the test and its interpretation can be found in the Canvas reading:https://psu.instructure.com/courses/2396422/assignments/17585717 (SECTION 14.1)
Run a Clarke-Evans test to answer this question: “Are
schools more regularly spaced (more “gridded”) than we
would expect from an Independent Random Process?”
You may choose your own p-value threshold, but you must justify your choice.
I want to see your code and a write up. Your write up must include:
The null hypothesis (H0)
The alternative hypothesis (H1)
The observed test statistic
The test statistic you would expect if H0 were true
The p-value
A clearly stated conclusion
The problem with nearest-neighbour analysis is that it only captures what happens at the smallest spatial scale: the distance from each point to its closest neighbour. This is useful for detecting very local clustering or repulsion, but it tells us nothing about how points are arranged beyond that first neighbour—whether they form larger clusters, how far apart those clusters sit, or whether there is structure at multiple spatial scales.
For example, in this common case of wolf packs with small scale uniformity (personal space), but larger scale clustering, nearest neighbour analysis will only show the distance within each cluster.

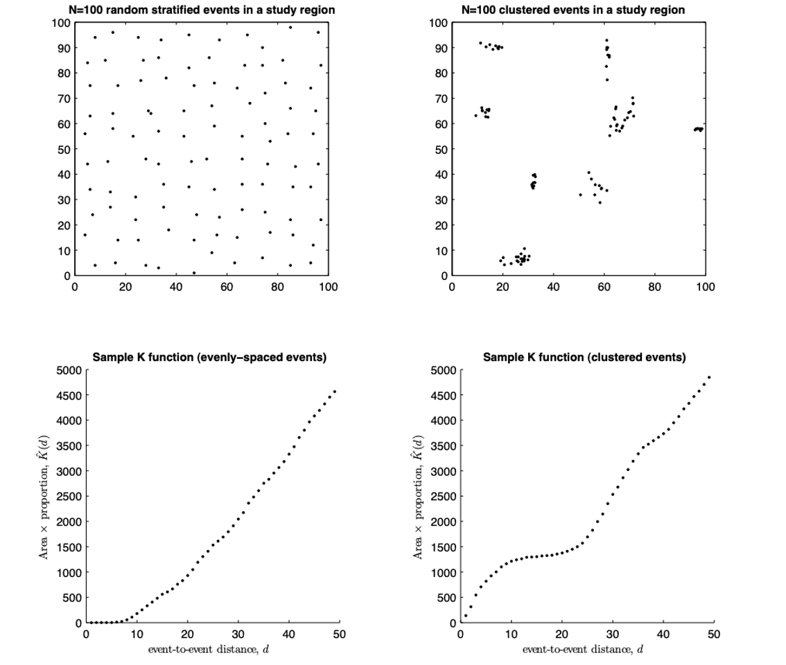
Ripley’s K and the L function are techniques to help see the entire pattern.
Ripley’s K-function solves this by looking beyond nearest neighbours. Instead of examining only the closest point, K counts all points within a growing radius around each location and averages those counts over the entire pattern. By repeating this for many radii, K reveals how the spatial organisation changes with scale, allowing us to see both the tightness of clusters and the spacing between clusters in a single cumulative plot.


Here’s the result for a few different point patterns. If the line flattens out, it means that there are no neighbours at this distance apart, so there are clusters spaced at that distance apart.

One problem with the K function is that its curve naturally bends upward as distance increases, which makes it hard to see small departures from the expected K under complete spatial randomness.
The L-function is a mathematical rescaling of K that straightens this curve, transforming the expected values for an IRP into a horizontal line. This makes deviations from randomness much easier to interpret. The transformation takes the square root of K divided by π—producing something measured in units of distance—and then compares it directly to r. The resulting plot, L(r) − r, shows clustering as values above zero and inhibition as values below zero, all on a scale that is visually easier to interpret.

To decide whether our observed L-function shows real clustering/uniformity or simply random variation, we compare it to what we would expect under complete spatial randomness (e.g. if the pattern was created by an IRP).
We do this using a Monte Carlo envelope. The idea is simple: we generate many random point patterns with the same overall density as our data, compute the L-function for each one, and plot all those simulated curves as faint grey lines. These curves show the range of variation we would naturally expect just by chance. We then take the upper and lower extremes of these simulations to form an ‘envelope’ around the expected line. If the L-function from our real data stays inside this envelope, the pattern is consistent with randomness; if it rises above or below the envelope, it reflects more or fewer neighbouring points than expected, indicating clustering or inhibition at those spatial scales.

Then you can compare YOUR pattern against the ones created by an independent random process.
We can use the Lest command to calculate the L-function for our data. For example here is the L function for the schools data without and with edge corrections. I have put some extra packages here to force R to use the, so in this case it’s OK to have them here. 2
library(spatstat.geom)
library(spatstat.explore)
# Compute L with no edge correction
Schools_L_noedge <- Lest(School.ppp, correction="none")
# and L WITH an edge correction
Schools_L <- Lest(School.ppp)
# Make them into a more easily readable format.
Schools_L_noedge.df <- as.data.frame(Schools_L_noedge)
Schools_L.df <- as.data.frame(Schools_L)
head(Schools_L_noedge.df)
head(Schools_L.df)Copy this code over to a new code chunk and get it running. Edit
the code chunk options so that warning=FALSE, message=FALSE and
results=“hide” (see HW9 for details)
Repeat for the McDonalds Data.
You should see four printouts (2 for schools and 2 for
McDonalds). Use this ChatGPT chat (I checked its accuracy) to explain in
the text below your code chunk:
We now run a Monte Carlo envelopes for summary functions of a point pattern. As described above, we do this by:
Simulating many patterns under a null model (here, Complete
Spatial Randomness, CSR). nsim determines how many
simulations are used.
Computing the same statistic for each simulated
pattern.
If you want a more realistic envelope, change global to FALSE BUT
it will take 5-10mins to run..
# Compute the simulated envelope,
# If you want the simulation envelope to be more accurate set global=FALSE
# BUT it might take 5-10mins to run.
Schools_IRPsim <- envelope(School.ppp, Lest,
nsim = 99,
nrank = 1,
verbose = FALSE,
correction = "translate",
global = TRUE)
Schools_IRPsim.df <- as.data.frame(Schools_IRPsim)
head(Schools_IRPsim.df)Here you will see:
r the distance between points e.g. the size of the
circleobs the average of all the simulated runstheo theoretically what you should expectlo the lowest value of the grey cloudhi the top value of the grey cloudCopy this code over to a new code chunk and get it running. Edit
the code chunk options so that warning=FALSE, message=FALSE and
results=“hide” (see HW9 for details)
Repeat for the McDonalds Data.
# And correct so that instead of a straight line with slope 1, we look at a flat line with slope 0,m because its easier to interpret.
Schools_L_noedge.df <- Schools_L.df %>%
mutate(
none_minus_r = trans - r
)
Schools_L.df <- Schools_L.df %>%
mutate(
iso_minus_r = iso - r,
trans_minus_r = trans - r,
theo_minus_r = theo - r
)
Schools_IRPsim.df <- Schools_IRPsim.df %>% mutate(
obs_minus_r = obs - r,
lo_minus_r = lo - r,
hi_minus_r = hi - r
)#--------------------------------------------
# First sort out your y limits
#--------------------------------------------
max_y <- max(
abs(Schools_L_noedge.df$none_minus_r),
abs(Schools_L.df$iso_minus_r),
abs(Schools_L.df$trans_minus_r),
abs(Schools_IRPsim.df$lo_minus_r),
abs(Schools_IRPsim.df$hi_minus_r)
)
ylims <- c(-max_y, max_y)
#--------------------------------------------
# Then plot
#--------------------------------------------
ggplot() +
# envelope shading
geom_ribbon(
data = Schools_IRPsim.df,
aes(x = r, ymin = lo_minus_r, ymax = hi_minus_r),
fill = "grey85"
) +
# No correction
geom_line(
data = Schools_L_noedge.df,
aes(x = r, y = none_minus_r, colour = "No edge correction"),
linewidth = 0.5,
) +
# iso correction
geom_line(
data = Schools_L.df,
aes(x = r, y = iso_minus_r, colour = "Ripley's correction"),
linewidth = 0.5, linetype = "dashed"
) +
# translation correction
geom_line(
data = Schools_L.df,
aes(x = r, y = trans_minus_r, colour = "Translation correction"),
linewidth = 0.5, linetype = "dotted"
) +
# CSR theoretical line (L(r) = r → L(r)-r = 0)
geom_line(
data = Schools_L.df,
aes(x = r, y = theo_minus_r, colour = "Expected if IRP"),
linewidth = 0.5) +
scale_colour_manual(
name = "Edge correction method",
values = c(
"No edge correction" = "black",
"Ripley's correction" = "blue",
"Translation correction" = "firebrick",
"Expected if IRP" = "steelblue"
)
) +
labs(
x = "Distance between schools (km)",
y = "L(r) - r",
title = "L-function for NY Schools with edge correction methods"
) +
coord_cartesian(xlim = c(0, 50), ylim = ylims)+
theme_bw(base_size = 12) +
theme(legend.position = "right")Now you should have your two L-function plots. Interpret what
they both mean in terms of schools and McDonalds.
Is the data unusually clustered, uniform or no-different-to-IRP
data at different distances?
How does correcting for edge effects change your results?
Does each show the story you are expecting? Is there anything
that might be skewing your results (hint, its a link to 1st order
autocorrelation).
Your p-value for the L-function envelope is directly linked to nsim, the number of IRP simulations you generated. The smallest p-value you can detect is approximately 1/nsim. For example, with nsim = 100, the smallest possible p-value is about 0.01; with nsim = 5, it is about 0.2.
Reduce nsim in your Monte Carlo envelope code to a very small
number (e.g. nsim = 5), re-run the code from that point to the end so
that your plot updates, and then explain in your write up:
What changes happen to the appearance of the grey Monte Carlo envelope (the “cloud”)?
What does this tell you about the relationship between nsim and the strength of evidence you can claim about clustering or inhibition?
Going much further beyond this point will lead us to masters level work, as to control for things like population density we would need to fit generalised point pattern regression models. So instead:
This should connect what you learned across Weeks 1 and 2. Your reflection should address the following with a few sentences for each point.
What is pattern of McDonalds and Schools across upstate New York,
and potential causes?
Does the locational fallacy impact either dataset and why?
Do edge effects impact either dataset and why?
How did the distinction between first-order effects (e.g. varying population density, geography, or settlement patterns) and second-order effects (interactions between points) shape your interpretation of the Schools and McDonald’s datasets?
In what ways did the kernel density maps and nearest-neighbour analysis give different kinds of information about the spatial pattern?
If you were investigating the autocorrelation pattern of Schools vs McDonalds for your job, what would be the next thing you want to look at?
Remember to save your work throughout and to spell check your writing (next to the save button). Now, press the knit button again. If you have not made any mistakes in the code then R should create a html file in your lab3 folder, complete with a very recent time-stamp.
You can download each of your .RmD and html files by:

Repeat the process exactly for the html file underneath it (e,g,
just have the html clicked.)
Now go to Canvas and submit BOTH your html and your .Rmd file in Lab 7.
Go to your Lab 7 folder, In that folder, double click on the html
file. This will open it in your browser. CHECK THAT THIS IS WHAT YOU
WANT TO SUBMIT
Now go to Canvas and submit BOTH your html and your .Rmd file in
Lab 7.

Submitting files (15 pts)
General style and organisation (10 pts)
Writing quality (10 pts)
Introduction and spatstat explanation (10 pts)
Mapping, initial data exploration, and CRS explanation (20 pts)
Converting data to spatstat objects (10 pts)
First-order analysis: Global and local density (15 pts)
Nearest-neighbour analysis (10 pts)
R-Ratio and Clarke–Evans test (15 pts)
L-function, simulation envelope, and nsim interpretation (20 pts)
Final reflection (10 pts)
Overall, here is what your lab should correspond to:
| Grade | % Mark | Rubric |
|---|---|---|
| A* | 98-100 | Exceptional. Not only was it near perfect, but the graders learned something. THIS IS HARD TO GET. |
| NA | 96+ | You went above and beyond |
| A | 93+: | Everything asked for with high quality. Class example |
| A- | 90+ | The odd minor mistake, All code done but not written up in full sentences etc. A little less care |
| B+ | 87+ | More minor mistakes. Things like missing units, getting the odd question wrong, no workings shown |
| B | 83+ | Solid work but the odd larger mistake or missing answer. Completely misinterpreted something, that type of thing |
| B- | 80+ | Starting to miss entire/questions sections, or multiple larger mistakes. Still a solid attempt. |
| C+ | 77+ | You made a good effort and did some things well, but there were a lot of problems. (e.g. you wrote up the text well, but messed up the code) |
| C | 70+ | It’s clear you tried and learned something. Just attending labs will get you this much as we can help you get to this stage |
| D | 60+ | You attempt the lab and submit something. Not clear you put in much effort or you had real issues |
| F | 0+ | Didn’t submit, or incredibly limited attempt. |
And.. finished!